Группа охранных предприятий «Бастион»
Доп. телефоны: +7 (926) 310-05-30
«Бастион плюс Д» был официально оформлен 16 июля 2004 года. Основной деятельностью компании было осуществление физической защиты объектов и предприятий на территории города Дмитрова и Дмитровского района. В мае 2005 года было дополнительно зарегистрировано ООО «Бастион», которое основывалось на оказании удаленных охранных услуг – установкой и сопровождением охранно-пожарной сигнализации и других технических средств охраны.
Объединенные усилия двух организаций в настоящее время носят название ЧОП «Бастион» и осуществляют услуги по частной охранной деятельности в г. Дмитрове и Дмитровском районе Московской области. Высококвалифицированный штат состоит из сотрудников с особой профессиональной военной подготовкой и профпригодных граждан, специально обученных организацией.
Частное охранное предприятие «Бастион» имеет определенную значимость и высокий уровень доверия среди клиентов. Оказание охранных услуг компанией лицензировано и осуществляется в законодательно установленных рамках.
«Бастион» предоставляет услуги:
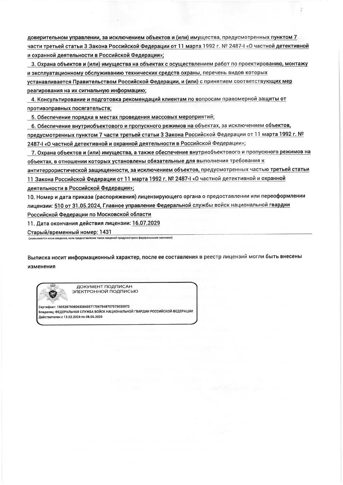
Лицензии
Номера лицензий: № 1431, № 8-Б/00446, № 1706
Предоставлена на срок до 16 июля 2029 г.
Реквизиты
Дополнительная информация
Вакансии «Бастион»
Вакансий не найдено. Посмотрите вакансии других ЧОПов.
Отзывы
Отзывов пока нет. Будьте первым, кто его напишет!






